Originally posted by Chris
View Post
Originally posted by Chris
View Post
This observation has compelled me to bring forth some of the imagery that I have prepared as part of an ongoing project, involving a spatial analysis of the murder sites most closely associated with 'Jack the Ripper'.
Use the following link to view the flickr 'set' of ten aerials, which I have compiled as a sort of project 'preview'.
Septic Blue: Sample Imagery from 'Jack the Ripper' Project
As I am faced with perhaps several months of work, before completion of the project is even on the horizon, I have decided to present successive portions of my analysis on the message boards, as I progress. I will then assemble a final product that will hopefully make its way into the 'Dissertations' section of Casebook.
Today's presentation is merely an informal 'preview' of the entire project.
I will hopefully begin a formal presentation of successive portions of the project within the next two-to-three weeks. But again; the process of presenting the entire project will require several months.
I will begin with an excerpt from the project-narrative:
"A question that is often raised in regard to the murders most widely attributed to 'Jack the Ripper', is whether the perpetrator of these crimes was 'local'. While the answer to this question is likely to remain forever elusive, a better conceptualization of the question itself is well within reach, and likely to enhance the focus of today's ongoing informal 'investigation'. In other words: While the location of the 'base', from which 'Jack the Ripper' operated, like his identity, will probably never be discovered, a better understanding of the circumstances surrounding the murders, for which he is believed to have been responsible, can be obtained by establishing a set of parameters that allow for a definition, in this case, of that which was 'local'.
Webster's defines the term 'local', accordingly: "Of, pertaining to, or characteristic of a particular place or a limited portion of space." It is therefore, imperative that a "particular place" and/or "limited portion of space" be established, in order to fully conceptualize the question of whether 'Jack the Ripper' was indeed 'local'. Put simply: The concept of a 'locale' having clearly defined parameters is a necessary component of the question itself.
For clarity's sake, the question being raised should be whether 'Jack the Ripper' was 'local' specifically to the area, in which his crimes were committed. Thus, the establishment of a "particular place" to serve as a focal point, and a "limited portion of space" to serve as a specified degree of vicinity, e.g. 'immediate vicinity', 'general vicinity' or 'broad vicinity', should be based on the locations of the murders that are most widely believed to have been his 'work'. Unfortunately, knowing which murders are most widely attributed to this 'phantom' killer is virtually impossible, as opinions vary and tend to be fraught with subjectivity.
Supposed 'canons' notwithstanding: It would appear that three of the so-called 'Whitechapel Murders' (those of Polly Nichols, Annie Chapman and Catherine Eddowes) are almost universally accepted as having been the work of a single killer; and that three of the remaining eight (those of Martha Tabram, Elizabeth Stride and Mary Jane Kelly) are preponderantly accepted as having been committed by the same hand. Of particular note: This set of six murders occurred in uninterrupted sequence within the series of eleven 'Whitechapel Murders', during a span of just ninety five days (7 August 1888 – 9 November 1888); within an area of less than one square-mile; and under certain circumstances, which were strikingly similar. It would seem likely therefore, that those directly involved in the contemporary investigations of these murders perceived at least some degree of correlation within the set, if not a common denominator in the form of a single perpetrator. So, while the inclusions of Tabram, Stride and Kelly in the 'Ripper's tally' are each debatable; the spirit of objectivity virtually dictates the factorization of their murder sites in the establishment of a 'locale'."
------------------------
Figure 1: Pinpointing the Murder Site Epicenter (Click to View in flickr)
Underlying Aerial Imagery: Copyright Google Earth, 2007
Overlying Plots, Labels and Color-Shadings: Copyright Colin C. Roberts, 2009
Explanations (in 'Layman Terms') in Upcoming Formal Presentation
Three distinct sequences of measurement (Red; Blue; Yellow), which lead to precisely the same murder-site epicenter.
The epicenter may also be determined by calculating the mean longitudinal and latitudinal coordinates of the six murder sites:
Martha Tabram (7 August 1888)
First-Floor Stairway Landing of George Yard Buildings, George Yard, Parish of St. Mary Whitechapel, County of Middlesex
Longitude: 0° 4' 18.45" West
Latitude: 51° 31' 0.60" North
Mary Ann 'Polly' Nichols (31 August 1888)
Gateway to Brown's Stable Yard, Buck's Row, Parish of St. Mary Whitechapel, County of Middlesex
Longitude: 0° 3' 37.53" West
Latitude: 51° 31' 12.14" North
Annie Chapman (8 September 1888)
Back Yard of 29 Hanbury Street, Parish of Christ Church Spitalfields, County of Middlesex
Longitude: 0° 4' 21.40" West
Latitude: 51° 31' 13.67 North
Elizabeth Stride (30 September 1888)
Gateway to Dutfield's Yard, Berner Street, Parish of St. George in the East, County of Middlesex
Longitude: 0° 3' 56.14" West
Latitude: 51° 30' 49.44 North
Catherine Eddowes (30 September 1888)
Southeast Corner of Mitre Square, Parish of St. James, Aldgate Ward, City of London
Longitude: 0° 4' 41.06" West
Latitude: 51° 30' 49.35" North
Mary Jane Kelly (9 November 1888)
Interior of 13 Miller's Court, Dorset Street, Parish of Christ Church Spitalfields, County of Middlesex
Longitude: 0° 4' 30.47" West
Latitude: 51° 31' 7.17" North
Murder Site Epicenter
Southwest Corner of the Intersection of Wentworth Street and Osborn Street, Parish of St. Mary Whitechapel, County of Middlesex
Longitude: 0° 4' 14.18" West
Latitude: 51° 31' 2.06" North
Figure 2: Deviations from Murder Site Epicenter (Circular) (Click to View in flickr)
Underlying Aerial Imagery: Copyright Google Earth, 2007
Overlying Plots, Labels and Color-Shadings: Copyright Colin C. Roberts, 2009
Explanations (in 'Layman Terms') in Upcoming Formal Presentation
Green Circle: Mean Absolute Deviation = 505.37 Yards
Figure 3: Standard Deviation from Murder Site Epicenter (Circular) (Click to View in flickr)
Underlying Aerial Imagery: Copyright Google Earth, 2007
Overlying Plots, Labels and Color-Shadings: Copyright Colin C. Roberts, 2009
Explanations (in 'Layman Terms') in Upcoming Formal Presentation
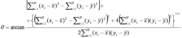
For those familiar with the concept of 'Standard Deviation': Calculations were based on a 'sample' of six murder sites, i.e. five 'degrees of freedom'. The hypothetical murder-site 'population' would consist of all murder-sites associated with this series, as it were to continue ad infinitum. The expectation would be that 63.68% of all associated murder sites would lie within one standard deviation of the murder-site epicenter.*
This can be loosely interpreted as follows:
Were this series of murders ongoing today; it could be reasonably deduced that there was a 63.68% 'probability' that the next murder would occur within the red color-shaded area. Of course, there would be no means of actually calculating such a 'probability', as the next murder in the series would occur as a totally random event.
*This of course, is based entirely on the murder-site distribution, and the 'assumption' that the murder-site landscape lacks any semblance of urban, rural or geologic topography (i.e. it is an open plane).
Figure 4: Incremental Probability Distribution (0% - 90%) (Click to View in flickr)
Underlying Aerial Imagery: Copyright Google Earth, 2007
Overlying Plots, Labels and Color-Shadings: Copyright Colin C. Roberts, 2009
Explanations (in 'Layman Terms') in Upcoming Formal Presentation
Figure 5: Incremental 'Geo-Profile' Probability Distribution (0% - 90%) (Click to View in flickr)
Underlying Aerial Imagery: Copyright Google Earth, 2007
Overlying Plots, Labels and Color-Shadings: Copyright Colin C. Roberts, 2009
Explanations (in 'Layman Terms') in Upcoming Formal Presentation
Figures in yellow indicate the probability that the perpetrator has operated from some sort of 'base' within the corresponding incrementally color-shaded areas.
This can be loosely interpreted as follows:
Were this series of murders ongoing today; it could be reasonably deduced that there was a 90.00% 'probability' that the perpetrator resided within the entire color-shaded area (0% through 90%; i.e. 'Red' through 'Aqua').
These figures are based on a very simple 'centrographic' (i.e. central tendency) model, which I have constructed in order to provide an example of geographic profiles. The model differs significantly from those used by Kim Rossmo, David Canter, Ned Levine (CrimeStat), et al …; which establish rectangular 'search areas' that are then divided into tens of thousands of rectangular 'cells', to which proprietary 'distance-decay' functions are applied.
My model is based on the very simple premise that at some level of deviation from the epicenter, there exists a '50%-threshold' that determines a level of 'delay' in the cumulative distribution function associated with the six murder sites.
In other words: If we assume, generally speaking, that there is a 50% probability that a doctor will reside within the area, in which he makes house-calls; that there is a 50% probability that a door-to-door salesman will reside within the area, in which he operates; and that there is a 50% probability that a serial-murderer will reside within the area, in which he kills; then that probability will be progressively greater than 50% in the cases of larger areas, and progressively less than 50% in the cases of smaller areas. This would be due to the fact that traversal of an 'area of operations' becomes more difficult as the size of that area increases; thus increasing the likelihood that any 'operator' will be found to be working from within the area itself.
Consider the daily routine of Charles Lechmere (a.k.a. "Charles Cross"), the discoverer of Polly Nichols’s body. He traversed the entire 'killing field' of 'Jack the Ripper' each morning, in walking from his home in The Hamlet of Mile End Old Town, to his place of work in The City of London. Clearly, 'Jack the Ripper' could very easily have commuted into his 'area of operations' (from just outside, of course) on a very regular basis, while possibly traversing the entire area just as regularly.
Using one 'standard deviation' as the '50%-threshold', we have a perceived 'probability' of 63.68% that the murderer would continue to operate within; and therefore a 31.84% perceived 'probability' that the he would be found to be living within. As we move beyond one standard deviation, the latter 'probability' progressively increases beyond 50% of the former; while as we move within one standard deviation, the latter 'probability' progressively decreases below 50% of the former.
Figure 6: The 'Killing Field' (Circular) (Click to View in flickr)
Underlying Aerial Imagery: Copyright Google Earth, 2007
Overlying Plots, Labels and Color-Shadings: Copyright Colin C. Roberts, 2009
Explanations (in 'Layman Terms') in Upcoming Formal Presentation
Figure 7: Immediate Vicinity; General Vicinity; Broad Vicinity (Click to View in flickr)
Underlying Aerial Imagery: Copyright Google Earth, 2007
Overlying Plots, Labels and Color-Shadings: Copyright Colin C. Roberts, 2009
Explanations (in 'Layman Terms') in Upcoming Formal Presentation
Figure 8: The 'Killing Field' (Elliptical) (Click to View in flickr)
Underlying Aerial Imagery: Copyright Google Earth, 2007
Overlying Plots, Labels and Color-Shadings: Copyright Colin C. Roberts, 2009
The elliptical perspective accounts for the directional bias or 'skew' of the murder-site distribution, whereas the circular perspective does not. Imagine the circular depictions of various levels of deviation, being 'stretched' along a southwest-to-northeast axis (i.e. an axis of 35.53° counterclockwise rotation from the axis of longitude), such that a deviation along that axis of 140.99 yards would be of equal 'magnitude' to a deviation along the respective perpendicular axis, of 100.00 yards.
Figure 9: Deviations from Murder Site Epicenter (Elliptical) (Click to View in flickr)
Underlying Aerial Imagery: Copyright Google Earth, 2007
Overlying Plots, Labels and Color-Shadings: Copyright Colin C. Roberts, 2009
Explanations (in 'Layman Terms') in Upcoming Formal Presentation
Red Ellipse: 1.00 Standard Deviations from Murder-Site Epicenter
Again; using one 'standard deviation' as the '50%-threshold', we have a perceived 'probability' of 63.68% that the murderer would continue to operate within; and therefore a 31.84% perceived 'probability' that the he would be found to be living within.
Yellow Dot: Possible 1888 Residence of Aaron Kosminski
34 Yalford Street, Hamlet of Mile End Old Town, County of Middlesex
Longitude: 0° 3' 56.79" West
Latitude: 51° 30' 59.31" North
Yellow Ellipse: 0.67 Standard Deviations from Murder-Site Epicenter
So; we have a perceived 'probability' of 46.76% that the murderer would continue to operate within; and therefore a 21.76% perceived 'probability' that the he would be found to be living within.
In other words: In accordance with my geo-profile model; there was merely a 22% 'likelihood' that 'Jack the Ripper' resided in closer proximity to the murder-site epicenter than did Aaron Kosminski. This of course, speaks very favorably for the possibility that Aaron Kosminski was 'Jack the Ripper'.
Figure 10: Ancient Parochial Establishment of East London (Click to View in flickr)
Underlying Aerial Imagery: Copyright Google Earth, 2007
Overlying Plots, Labels and Color-Shadings: Copyright Colin C. Roberts, 2009
Explanations (in 'Layman Terms') in Upcoming Formal Presentation
Part of an effort to define that, which was 'local' in the context of political geography.
- Bright Yellow: St. John at Hackney
- Orange: St. Leonard Shoreditch
- Red: St. Dunstan Stepney
- Green: Bromley St. Leonard
- Purple: City of London
- Gold: The Liberty of His/Her Majesty's Tower of London
- Blue: Precinct of the Priory of St. Mary without Bishopsgate (St. Mary Spital)
- Green: Precinct of the Priory of the Holy Trinity, Aldgate (County of Middlesex)
The Ancient Parish of St. Dunstan Stepney (Red) was divided, between the years 1329 - 1817, into the following Civil Parishes:
- St. Matthew Bethnal Green
- Christ Church Spitalfields
- The Hamlet of Mile End New Town
- St. Mary Whitechapel
- St. John of Wapping
- St. George in the East
- St. Paul Shadwell
- The Hamlet of Mile End Old Town
- The Hamlet of Ratcliff
- St. Anne Limehouse
- St. Mary Stratford Bow
- All Saints Poplar
The Precinct of the Priory of St. Mary without Bishopsgate (St. Mary Spital) (Blue) was originally part of St. Botolph without Bishopsgate (excepting the northernmost 'tip', which was part of St. Leonard Shoreditch). By the end of the seventeenth century, it had become The Liberty of Norton Folgate (north) and The Old Artillery Ground (south).
The green areas, which constituted the Middlesex portions of the Precinct of the Priory of the Holy Trinity, Aldgate were originally part of St. Botolph without Aldgate. The smaller area (north) eventually became Holy Trinity (Minories), while the larger area (south) became The Precinct of St. Katharine (west), and once again St. Botolph without Aldgate (east).


Comment